
主要从测量管理体系只写一点工程测量的重要性每个施工单位测量管理体系不同施工测量放线准备简单介绍测量误差基本知识只介绍部分知识点详细了解可参考相关测量书籍高程控制测量四等水准测量和三角高程测量相关知识点介绍和实操步骤平面控制测量主要介绍一级导线平面控制测量外业测量和内业计算相关知识房建施工过程测量可参考之前文章水准仪的检验与校正部分测量案例分析

一测量管理体系

工程测量贯穿于工程的勘测设计施工和运营管理阶段在以往工程中因工程测量造成的事故层出不穷给公司形象及经济效益造成巨大影响
二施工测量放线准备



三测量误差基本知识




四高程控制测量

1一般规定
我国国家水准测量依精度不同分为一二三四等一二等水准测量称为精密水准测量是国家高程控制的全面基础可为研究地壳形变等提供数据三四等水准测量直接为地形测图和各种工程建设提供所必需的高程控制
高程控制测量是指在小地区范围内为满足测图和施工的需要采取一定的方法和作业程序完成测区首级高程点的加密工作一般地分为三四等水准测量和三角高程测量两种形式
2四等水准测量
1水准测量原理
水准测量是利用水准仪的一条水平视线并借助水准尺来测定地面两点间的高差这样就可由已知点的高程推算出未知点的高程

2水准测量布网形式
在水准点间进行水准测量所经过的路线称为水准路线

3高程系统
我国国家高程系统黄海高程系
1956年黄海高程系水准原点H72289米1985年国家高程基准水准原点H72260米
我国取青岛附近黄海平均海水面为大地水准面人为而定相对稳定我国1956年取前6年的平均潮位作为大地水准面1985年取1953年1979年共26年观测的平均潮位作为大地水准面
水准原点建在青岛市内作为我国的国家高程基准1956年高程基准的高程为72289米1985年高程基准的高程为72260米
地方高程系统上海吴淞高程系
4水准测量的一般原则
1选择有利的观测时间2仪器的前后视距大致相等
3相邻测站观测顺序按后前前后或后后前前进行
4根据规范的规定采用往返测或单程双转点法观测
5观测中间歇点最好在固定点上否则应选择两个固定点
5四等水准的观测顺序
后后前前
架好仪器精平瞄准后尺读取黑面上丝读数下丝读数和中丝读数
瞄准后读取红面中丝读数
转动望远镜瞄准前尺读取黑面中丝读数和上丝读数下丝读数
瞄准前尺读取红面中丝读数





9水准测量成果的内业计算方法
1计算高差闭合差fh
定义观测总高差与其理论总高差之差
公式fhh测h理
对于附合水准路线
h理HBHAfhh测HBHA
对于闭合水准路线
h理0fhh测
对于支水准路线fhh往h返
2计算观测高差的改正数vi
高差闭合差fh的分配原则将高差闭合差fh反号后按路线长度或测站数成正比例地分配到各观测高差中去即得各观测高差的改正数vi
观测高差改正数vi的计算公式为
vifhnni
或vifhLLi
令v站fhn叫每测站改正数因此viv站ni
又令vkmfhL叫每千米单位长度改正数因此vivkmLi




竖直角从竖直角概念可知它是竖直面内水平线与目标方向的夹角所以测定竖直角时其角度值可从竖盘上两个方向读数之差求得而该两个方向中有一个是水平线方向当经纬仪视线水平时无论盘左还是盘右其竖盘读数都是个固定数值因此测竖直角时实际上只要瞄准目标读出其竖盘读数即可计算出竖直角

竖盘指标差指标偏离正确位置一个非常小的角度差X称为竖盘指标差指标差XLR360o2由于指标差的存在计算竖直角L和R时都受到影响故指标差X不应超过25指标差X不超过容许值取L与R的平均值作为最后结果若超过容许值则需重测
竖直角观测
1盘左观测盘左瞄准目标点B观测读出竖盘读数L运用竖直角计算公式盘左L90oL计算竖直角度数
2盘右观测盘右瞄准目标点B观测读出竖盘读数R运用竖直角计算公式盘右RR270o计算竖直角度数
3取平均值取上下半测回角值的平均值作为一测回竖直角值LR2


2三角高程测量的基本公式
1地球曲率与大气折光的影响
由于大地水准面是曲面过测站点的曲面切线不一定和水平视线平行故测得的高差和实际高差不一定相等
空气密度随着所在位置的高程变化越到高空密度越稀光线通过由下而上密度均匀变化的的大气层时光线发生折射形成凹向地面的曲线引起三角高程测量偏差



2对向观测计算高差
为了消除或减弱地球曲率和大气折光的影响三角高程测量一般应进行对向观测亦称直反觇观测三角高程测量对向观测所求得的高差较差不应大于04Dm其中D为水平距离以km为单位若符合要求取两次高差的平均值作为最终高差
3三角高程测量主要误差来源及减弱措施
由公式知观测边长D垂直角仪高i和觇标高v的测量误差及大气垂直折光系数K的测定误差均会给三角高程测量成果带来误差
1边长误差
边长误差决定于距离丈量方法用普通视距法测定距离精度只有1300用电磁波测距仪测距精度很高边长误差一般为几万分之一到几十万分之一边长误差对三角高程的影响与垂直角大小有关垂直角愈大其影响也愈大
2大气垂直折光系数误差
大气垂直折光误差主要表现为折光系数K值测定误差
3丈量仪高和觇标高的误差
仪高和觇标高的量测误差有多大对高差的影响也会有多大因此应仔细量测仪高和觇标高
五平面控制测量

1一般规定
平面控制网的建立可采用卫星定位测量导线测量三角形网测量等方法
平面控制网等级的划分如下
卫星定位测量控制网依次为二三四等和一二级
导线及导线网依次为三四等和一二三级
三角形网依次为二三四等和一二级
下面主要介绍一级导线平面控制测量

附合导线从已知控制点B和已知方向BA出发经过123点最后附合到另一已知点C和已知方向CD上这样的导线称为附合导线

支导线由一已知点B和已知方向BA出发既不附合到另一已知点又不回到原起始点的导线称为支导线

施工控制网的特点
1控制范围小控制点密度大精度要求高2施工控制网使用频繁
3施工干扰大4施工控制网采用施工坐标系统


4导线的外业测量
1踏勘选点及建立标志
选点要求
相邻点间通视良好地势平坦便于测角和量距
点位应选在土质坚硬外便于保存和安置仪器
视野开阔便于施测碎部
导线各边的长度应大致相等不能大于07倍平均边长见表所示全长也有要求
导线应有足够的密度分布较均匀便于控制整个地区
2建立标志
临时性标志导线点位置选定后要在每一点位上打一个木桩在桩顶钉一小钉作为点的标志
永久性标志需要长期保存的导线点应埋设混凝土桩桩顶嵌入带字的金属标志作为永久性标志
导线点应统一编号为了便于寻找应量出导线点与附近明显地物的距离绘出草图注明尺寸该图称为点之记

2导线转折角测量
一般采用J6经纬仪测回法测量两个以上方向组成的角也可用方向法
导线转折角有左角和右角之分
当与高级控制点连测时需进行连接测量

5导线测量的内业计算
计算步骤
1计算角度闭合差f并进行调整
2推算各边的坐标方位角
3计算各边的坐标增量XY
4计算纵横坐标增量闭合差fXfY和导线全长闭合差fD及相对误差K并进行增量闭合差调
整
5计算各导线点的坐标XiYi







如图ABCD是已知点起始边的方位角和终止边的方位角为已知外业观测资料为导线边距离和各转折角
1计算角度闭合差






六房建施工过程测量
祥见之前发表的一篇关于房建施工测量的文章
七水准仪检验与校正

根据上述b2和高差hAB算出A点尺上视线水平时的应读读数为

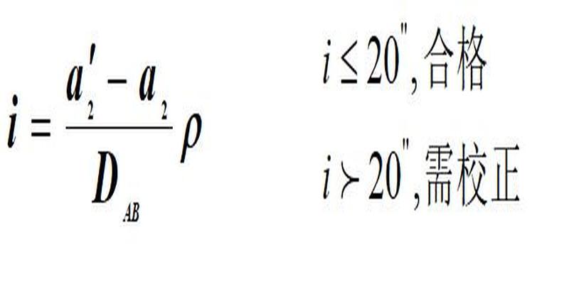
如果a2与a2相等表示两轴平行否则存在i角其角值为


2校正方法
转动微倾螺旋使十字丝的中丝对准A点尺上应读读数a2此时视准轴处于水平位置而水准管气泡不居中
用校正针先拨松水准管一端左右校正螺钉再拨动上下两个校正螺钉使偏离的气泡重新居中最后要将校正螺钉旋紧

八测量案例分析

2未考虑竖曲线设置
线路在设计坡度变化区域是采用曲线进行连接的但部分技术人员在计算路面标高时未考虑竖曲线的存在造成结构物顶面标高错误




